4.均衡為替レートの作成方法

 

3節における均衡為替レートの理論に基づき、この節では具体的な日韓、米韓および日タイ、米タイの均衡為替レートの作成方法を説明する。3節では、均衡為替レートが、

    1)各国の名目賃金率(w/w*

    2)当該国の交易条件(Pm*/P*

    3)両国の製造業における労働および原材料投入係数(a,bおよび a*,b*

の3つの要因によって決定されることを示した。そこで、まずはじめに均衡為替レート作成に際して、本稿で用いるデータについてみていくことにしよう。

 

4.1.データ

以下では、1)各国の名目賃金率、2)当該国の交易条件、3)両国の製造業における労働および原材料投入係数、の各要因のデータについて、日本、米国、韓国、タイにおいて用いたデータの詳細を述べていくことにする。データの概要は、表4−1にまとめられいるので、合わせて参照されたい。なお、いずれのデータも1972年から95年(もしくは96年)までの時系列データである。

 

4.1.a.各国の名目賃金率

各国の名目賃金率は、米国を除いて製造業の名目賃金率を使用した。まず日本の名目賃金は労働省『毎月勤労統計』にある1995年を100とする「名目賃金指数」を用いた。韓国の名目賃金は、Bank of Korea,Economic Statistics Yearbook にある「製造業名目賃金率」を、95年を100と基準化して用いている。またタイの名目賃金はタイ労働局が調査したバンコクの最低賃金指数を用いている(末広(1998)所収)。米国に関しては、製造業の名目賃金が直接利用できないので、労働のユニット・コストを用いた。なおこのデータについては、4.1.cで詳しく見ていくことにする。

 

4.1.b.当該国の交易条件

当該国の交易条件は、日韓、米韓レートにおいては韓国の値を、日タイ、米タイレートにおいてはタイの値をそれぞれ用いた。ここで当該国における交易条件とは国際市場における原材料と製造業完成品の相対価格として定義される。まず、韓国の交易条件は、原材料の価格に関しては Bank of Korea,Economic Statistics Yearbook より1990年を基準年とする韓国の「石油製品物価指数」を用いた。また製造業完成品の価格については IMF,International Financial Statistics にある「輸出物価指数」の90年を基準年としたデータを用いている。

一方、タイの交易条件は、原材料の価格として「石油製品卸売物価指数」を、製造業完成品の価格として「製造業卸売物価指数」を用いた。なおこの2つはいずれも、Bank of Thailand,Monthly Bulletin より採られており、1990年を100とする値である。

 

4.1.c.各国の製造業における労働および原材料投入係数

各国の製造業における労働および原材料投入係数は、Yoshikawa(1990)に従い以下のように作成した。まず、日韓、米韓レートにおける労働および原材料投入係数の作成方法を述べていこう。

 

 1)日韓、米韓レートの場合

韓国の輸出財産業として、繊維、鉄鋼、非鉄金属、金属製品、一般機械、電気機械、輸送機械、精密機械の8産業(i = 1,...,8)を取り上げた。そして、各産業の輸出額 i より以下のウェイトを計算する。

   

輸出額 i は Bank of Korea,Economic Statistics Yearbook より用いている。上記のように作成されたウェイトを用いて、各国の製造業における労働および原材料投入係数を作成する。

 

・労働投入係数(a)の算出方法

まず労働投入係数からみていくことにしよう。これは、

   

として計算した。は各産業の労働投入係数である。

この値は、日本については経済企画庁『国民経済計算年報』より、

 

   i=各産業の就業者/各産業の生産者価格表示の産出額

 

として計算した。

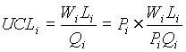
米国に関しては、に関する直接のデータが利用できないので、代わりに各産業の労働ユニット・コストを計算した。これは、

 

   

である。ここで、Pi、Wi、Li、Qi はそれぞれ、i産業における卸売物価指数、賃金、就業者数、および生産量である。Piは U.S. Department of Commerce, Survey of Current Businessより引用した。Wii は U.S. Department of Commerce,Annual Survey of Manufactures にある「All Employees Payroll」のデータを使用した。Pii については同じく U.S. Department of Commerce, Annual Survey of Manufactures にある「Value of Industry shipments」のデータを用いた。そして、UCLi と韓国の各産業の輸出シェアより、輸出産業である製造業における労働ユニットコスト

 

   

を導出した。

韓国については、日本のような各産業ごとのaiが推計期間のほとんどで利用できないために、Bank of Korea,Economic Statistics Yearbook から、

 

   a=製造業における就業者数/実質製造業国民総生産

 

として使用した。

・原材料投入係数(b)の算出方法

次に原材料投入係数をみていくことにしよう。これは、

 

   

として計算した。以下では、bの各要素 io 、bi,PETRO 、bPETRO,O を説明していくことにしよう。まず io は各産業における石油・石炭投入係数である。この値は、韓国については Bank of Korea,Economic Statistics Yearbook の「各産業の石油・石炭投入係数」を、また日本については経済企画庁『国民経済計算年報』の「各産業の鉱業投入係数」を用いた。一方、i,PETRO はi産業の石油・石炭製品の投入係数である。このデータとして、韓国は Bank of Korea,Economic Statistics Yearbook より「各産業のエネルギー投入係数」を、また日本は経済企画庁『国民経済計算年報』の「各産業の石油・石炭製品投入係数」をそれぞれ用いた。最後に、PETRO,O は石油・石炭製品産業の石油・石炭投入係数である。これらの値は、韓国については Bank of Korea,Economic Statistics Yearbook の「石油製品産業における原油等の投入係数」を、また日本については、経済企画庁『国民経済計算年報』の「石油・石炭製品における鉱業投入係数」を用いた。

米国に関しては io 、bi,PETRO 、bPETRO,O が先述のと同様に利用できないので、原材料・エネルギーのユニット・コストを計算した。これは、

 

   

である。ここで、Pim 、Mi はそれぞれi産業における原材料・エネルギーの物価指数および各産業における原材料・エネルギーのインプット量を示している。Pimi は U.S. Department of Commerce,Annual Survey of Manufactures の「Cost of Materials」を用いた。また、その他の値、Pi 、Pii については UCLi 作成の際に用いたデータを使用している。そして、UCMi と韓国の各産業の輸出シェアから、輸出産業である製造業における原材料・エネルギーユニットコスト

 

   

を導出した。

 

 2)日タイ、米タイレートの場合

タイに関する均衡レートにおいて、各国のa、bを作成する上で先述してきた韓国の場合と大きく異なることは、タイの各産業における輸出額を用いて、ウェイトを作成する点である。日、米、タイ各国のa、bはそれぞれ、このウェイトを用いて作成される。

まずタイの輸出財産業を、繊維、非鉄金属、金属・機械製品の3産業 (i = 1,2,3)に分けた。本来であれば、Yoshikawa(1990)および本稿の韓国の場合と同様に、7産業に分類すべきであろうが、タイに関してはそれに相当した分類のデータが利用できないため、3産業の分類のデータ作成を余儀なくされた。韓国の場合と同様に、まずタイにおける各産業の輸出額 i より以下のウェイトを計算する。

 

   

輸出額 i は新谷(1993)『タイの経済発展に関する数量的研究:1950-1990年』より用いている。上記のように作成されたウェイトを用いて、各国の製造業における労働および原材料投入係数を作成する。

タイに応じた各国におけるa、bの作成方法は、日韓、米韓レートの場合とウェイトが異なる点を除いて全く同一である。そこで、以下ではタイのデータの詳細を述べるのみとしよう。

まずタイのaであるが、これは韓国と同様に、各産業ごとの ai が推計期間のほとんどで利用できないため、新谷(1993)より、

 

   a=製造業における就業者数/実質製造業国民総生産

 

として用いた。またbについては、本来 io 、bi,PETRO 、bPETRO,O の3データが必要であるが、データの制約上、i,PETRO に相当する「各産業における石油製品投入係数」のみ新谷(1993)より採ることができるので、タイのbについては不十分ではあるが、

 

   

として作成した。

 

4.2.均衡為替レートの作成

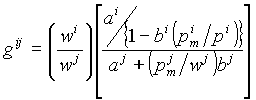
以上のデータより、日韓、米韓、および日タイ、米タイの均衡為替レートを導出する。ここで、基本的な推計式は3節の(7)式である。

日韓、日タイ均衡為替レートの計算は、日、韓、タイの3国ともにa,bの値が利用できるので、直接、1)各国の名目賃金率(w/w*)、2)自国の交易条件(Pm*/P*)、3)両国の製造業における労働および原材料投入係数(a,bおよび a*,b*)を、それぞれ(7)式に代入して導出した。すなわち、

 

   (8)

である。ただし、i=k、tであり、それぞれ韓国、タイに対応している。またjは日本を表し、gkj は日韓均衡為替レート、gtj は日タイ均衡為替レートを示す

一方、米韓、米タイ均衡為替レートの計算は、韓国、タイの2国はa,bの値が利用できるが、米国についてはそれらが利用できないので、先述した米国のユニットコストを用いて、次のように計算した。すなわち、

   (9)

である。ただしuは米国を表し、gku は米韓均衡為替レート、gtu は米タイ均衡為替レートを示している。

最後に、均衡為替レートを推計する際に、基準年が必要になる。ここで、我々は韓国およびタイの経常収支がほぼ均衡していた年次を基準年として計算した。それらは、日韓・米韓レートでは1977年、日タイ・米タイレートでは1986年である